- 불확실성 (uncertainty) 이 발생하는 이유
.충분하지 못한 데이터
.관찰된 데이터의 noise
- Probability theory : 불확실성을 정확하고 정량적으로 표현하는 수학적 프레임 워크 제공
- Decision theory : 불완전하고 모호한 정보로부터 최적의 예측안을 마련
- 확률의 법칙
- 확률 밀도 (Probability densities)
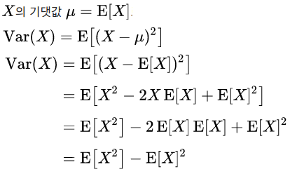
- 평균과 공분산 (Expectations and covariances)
*Covariance (COV, 공분산) : 두 개 이상의 확률변수의 상관 정도 (인과관계를 나타내지는 않음)
- 베이지언 확률 (Bayesian probabilities)
.확률을 고려 할 때, 빈도론자 (Freuqentist) 는 발생한 사건에 대한 빈도를 고려
.베이지언 관점은 확률의 개념을 빈도가 아니라, 모든것은 불확실하며 확률은 불확실성에 대한 믿음의 정도로 해석
(정량화는 함)
.회귀 문제의 경우 weight 는 고정된 값으로 고려되나, 베이지안 방식에서는 모든 값이 확률이므로 w 를 하나의 확률 변수로 고려함. 베이즈 법칙을 이용하여 w에 대한 불확실성을 기술 할 수 있음
.p(w) : w의 불확실한 정도, parameter 의 prior distribution
.실제 데이터를 통해 예측한 w의 확률 (likelihood) 를 조합하여 실제 w의 사후 확률 (posterior) 를 기술
- Likelihood in frequentist
.w는 고정된 파라미터
.Maximum likelihood 와 같은 방법으로 추정, p(D|w) 을 최대로 하는 w를 구함.
- Likelihood in Bayesian
.w를 랜덤 변수로 간주하여 확률 분포로 사용. D 는 고정
.w는 고정된 값으로 얻어지는 것이 아니라 확률 함수 등 으로 얻어짐
(물론 실제 사용시에는 확률 함수의 mean, mode 값을 대신 사용)
- 가우시안 분포 (Gaussian distribution) (정규 분포)
- Bayesian 관점에서의 Curve fitting
- 베이지언 커브 피팅 (bayesian curve fitting)
'ML, DL > Pattern recognition & machine learning' 카테고리의 다른 글
Chapter2 - Probability Distribution (0) | 2022.09.03 |
---|---|
Pattern recognition & Machine learning 교재 정리 사이트 주소 (0) | 2022.09.02 |